LED光源是一種新型固態冷光源,具有優良的性能,在不同行業有著廣泛的應用。顯色性是評價LED光源的一項重要的顏色指標,它影響著顏色評定結果的準確性。本文對LED光源優點及其顯色性的評價方法做了簡要的介紹。

從電光源的發展歷程來看,LED是繼白熾燈,熒光燈和壓電陶瓷(HTD)燈之后的第4代新型光源。LED光源的出現和發展將引起照明領域的一次變革,其具有以下優點:
1.節能。LED發光效率高、能量消耗低。目前照明級白光LED的發光效率已達100lm/W,與熒光燈相當,但LED比熒光燈節電約80%。
2.環保。LED 不含重金屬汞,發光顏色純正,不含紫外和紅外輻射,沒有頻閃,是一種典型的綠色光源。
3.壽命長。普通白熾燈的壽命約為1000h,熒光燈、金屬鹵化物燈等壽命也都不超過10000h,而LED目前的使用壽命已長達數萬小時。
4.結構牢固。LED通常采用環氧樹脂封裝,內部不存在松動部分,沒有玻璃、燈絲等易損和易燒零部件,機械強度大、耐震動、耐沖擊。
白光LED的光譜與傳統光源光譜有很大區別,在使用CIE推薦的CRI方法評價光源顯色性時存在表征不準確的問題,主要體現在人眼對顯色性的判斷與 CRI指數數值偏離,甚至出現顯色指數低的LED比顯色指數高的LED具有更好顯色性的情況。
CIE177:2007《白光LED顯色性》介紹了對于白光LED顯色性研究的最新進展,由美國國家標準與技術研究院提出的色度品質法(CQS)是其中的典型代表,它也采用了色偏離比較法,但在檢驗色樣選擇上采取了一套由15種高飽和顏色組成的新的檢驗色樣,如下圖所示:

這種檢驗色樣的選擇主要是考慮對可見光譜區間380~780 nm中各波段都有較好的顯色性,這樣對于混合顏色的顯色性也能相應的得到保障。
CQS評價體系在顏色的還原性之外,還包含了人對顏色的偏好度,和CRI一樣CQS也采用了測色法,首先通過計算被測光源和參考光源分別照明標準顏色樣本時的顏色空間來計算色差,在計算被測光源的顯色性指數。但CQS采用了不同的顏色樣本和新的計算方法,主要改進如下:
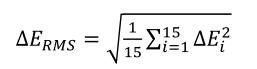
CQS使用了15種高飽和度色彩的標準顏色樣品。相關的研究顯示:如果某一光源對高飽和度色彩的顏色樣品顯色效果好的話,則該光源對低飽和色彩的顏色樣品的顯色效果也會很好。對于上述15中色樣的顏色差異程度取15個數值的均方根,其表達式為:

從上式可以看到,對每個數據先進行了平方,再去其算數平均值,這使得顏色差異的權重得到增強;如果待測光源對某一兩個顏色樣品的顯色性很差,那么最終的計算結果將受到很大的影響。
計算特殊顯色指數時使用如下方法:
