什么是光源顯色性?光源的顯色性是指物體在光源下呈現顏色的逼真程度,光源顯色性越好,物體顯示的顏色就越逼真;反之就失真。那么,光源顯色性好壞怎么評價?本文對光源顯色性及光源顯色性好壞做了簡要介紹。

顯色性,是指光源顯現被照物體顏色的性能,也就是顏色逼真的程度。顯色性由顯色指數Ra來表明。顯色性好的光源對顏色的再現較好,所看到的顏色也就較接近物體自然原色;顯色性差的光源對顏色的再現較差,所看到的顏色偏差較大。光源的顯色性,是由光源的光譜功率分布所決定的,光譜連續的光源顯色性好,物體在該光源下,所呈現的顏色就較逼直。
光源的顯色性用顯色指數的大小描述,而光源的光譜功率分布與光源顯色指數的大小有密切關系,光譜成分比較全、光譜功率分布曲線比較平滑的光源,顯色指數比較高;反之,光譜成分不全、各波長能量差別比較大的光源,顯色指數偏低。
光源的顯色性與光源使用時間的長短也有關,經過一段時間使用的光源,其光譜功率分布會發生一些細微的變化,為了精確的地了解光源的顯色指數,我們需要及時檢測該光源當時的光譜功率分布情況。
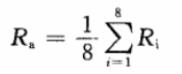
在CIE的顯色評價系統中,顯色性被定義為,待測光源下物體的顏色和參考光源下物體的顏色相符程度的度量,至今,這個指數仍在廣泛使用著。在CRI的計算中,CIE以8個中等明度、飽和度顏色樣本和6個特殊顏色樣本為標準顏色樣本,規定參考光源選擇為普朗克輻射體(當色溫低于5000K)和CIE日光參考光源(當色溫大于或等于5000k)。在CIE1964年推薦的均W*U*V*勻色空間內,計算標準光源和待測光源下不同顏色樣本的色差△E,則特殊顯色指數Ri可表示為:

最終一般顯色指數Ra就是前8塊樣本Ri的求和平均值,表示為:

CQS評價體系在顏色的還原性之外,還包含了人對顏色的偏好度,和CRI一樣CQS也采用了測色法,首先通過計算被測光源和參考光源分別照明標準顏色樣本時的顏色空間來計算色差,在計算被測光源的顯色性指數。但CQS采用了不同的顏色樣本和新的計算方法,主要改進如下:
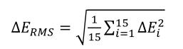
CQS使用了15種高飽和度色彩的標準顏色樣品。相關的研究顯示:如果某一光源對高飽和度色彩的顏色樣品顯色效果好的話,則該光源對低飽和色彩的顏色樣品的顯色效果也會很好。對于上述15中色樣的顏色差異程度取15個數值的均方根,其表達式為:

從上式可以看到,對每個數據先進行了平方,再去其算數平均值,這使得顏色差異的權重得到增強;如果待測光源對某一兩個顏色樣品的顯色性很差,那么最終的計算結果將受到很大的影響。
計算特殊顯色指數時使用如下方法:
