光源在單位時間內發出的光量稱為光通量,通常用符號Φ表示,單位為流明lm,光源光通量是表征光源總光輸出的輻射能量,它標志光源的性能優劣,是描述光源發光總量的大小的。那么,標準光源箱中白熾燈的光通量怎么測試?下文做了介紹。

光通量指人眼所能感覺到的輻射功率,它等于單位時間內某一波段的輻射能量和該波段的相對視見率的乘積。由于人眼對不同波長光的相對視見率不同,所以不同波長光的輻射功率相等時,其光通量并不相等。
光通量的單位為“流明”。光通量通常用Φ來表示,這是反應人眼對光線強弱反應的一個主觀單位。因視覺對此尚與光色有關。所以依標準光源及正常視力度量單位采用“流明”,符號:lm。可以這樣理解光通量:光通量是每單位時間到達、離開或通過曲面的光能量。
流明(lm)是國際單位體系(SI)和美國單位體系(AS)的光通量單位。如果將光作為穿越空間的粒子(即光子),那么到達曲面的光束的光通量與1秒鐘時間間隔內撞擊曲面的粒子數成一定比例。
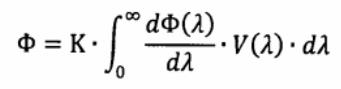
光通量的物理表達式為:

式中:
K:光敏度、感光度、在較大的光強下,人眼對于555nm的單色光的感知能力K=683.0021m/W。K值使光通量的單位與輻射功率的單位得到統一。
λ:波長,事實上人眼只對波長位于380nm-780nm的可見光有反應,習慣上我們把波長小于380nm的光波稱為紫外線,把波長大于780nm的光波稱為紅外線,這一點也反映在了視見函數V(λ)中。
V(λ):稱為人眼相對光譜敏感度曲線,亦作視見函數曲線,是總結了眾多針對人眼的測試經驗而得到的,它描述了人眼對不同波長的光的主觀感受的強弱。
白熾燈積分球光通量的測量方法是通過標準光源的光通量與待測光源光通量的比較來實現。標準光源的光通量是已知量,其漫反射照度可以測出。待測光源的漫反射照度亦可測出,通過相對比較法即可得到其光通量。這就是利用積分球測量總光通量的基本原理。
如果有一總光通量為Fρa的標準光源,其球壁照度為Eρa,又測得被測光源的球壁照度Ex,根據分球原理,通量與球壁照度成正比,則有:Fx=Fρa·Ex/Eρa(a表示標準)。
這就是用積分球測量總光通量的基本計算公式。只要測出Ex和Eρa,Fρa由國家計量院標定,就可以求出被測光源總光通量Fx。這就是比較法即相對法測量光源總光通量的原理。
需要指出,以上測量結果是在理想情況下得到的。在實際測量過程中,由于各種誤差因素的影響,測量結果與實際值必然有一定的偏差。導致偏差產生的原因主要有:標準燈的尺寸與被測燈的尺寸的不一致性、積分球本身的內部結構、積分球內壁和窗口選擇性、異色溫測光等等。所以,要想獲得高精度的測量結果,必須對結果進行修正,才能減小甚至消除誤差,獲得理想的測量結果。